近期,深圳技术大学阮双琛教授团队利用不同直径的ZnO纳米线作为弯曲介质制备出具有大应变梯度的α-In2Se3/β-InSe光电探测异质结。

图|弯曲α-In2Se3/β-InSe异质结
该研究首次揭示了挠曲电效应对二维范德华异质结光电探测性能的调控作用,为研究挠曲电效应在高性能二维范德华光电器件中的应用提供了新的方法。
挠曲电效应描述了应变梯度与极化(正挠曲电)以及电场梯度与应力(逆挠曲电)之间的力电耦合作用。由于应变梯度本身可以打破材料的中心对称性,挠曲电效应理论上可以存在于包括中心对称的绝大部分介电材料中。同时,挠曲电效应具有显著的尺寸依赖性,小尺寸材料中更易产生大的应变梯度场。相比传统压电效应只存在于非中心对称材料且不具有尺寸依赖性的特点,挠曲电效应在后摩尔时代的多功能、高集成度的新型器件中将扮演更加重要的角色。
如何诱导可控的大应变梯度,是挠曲电效应研究中的一个关键挑战。相比于传统体材料,新兴的二维范德华材料可以承受更大的形变,研究挠曲电效应对其光电性能的影响,可以为实现高性能微纳光电探测器提供一种新的调控手段。
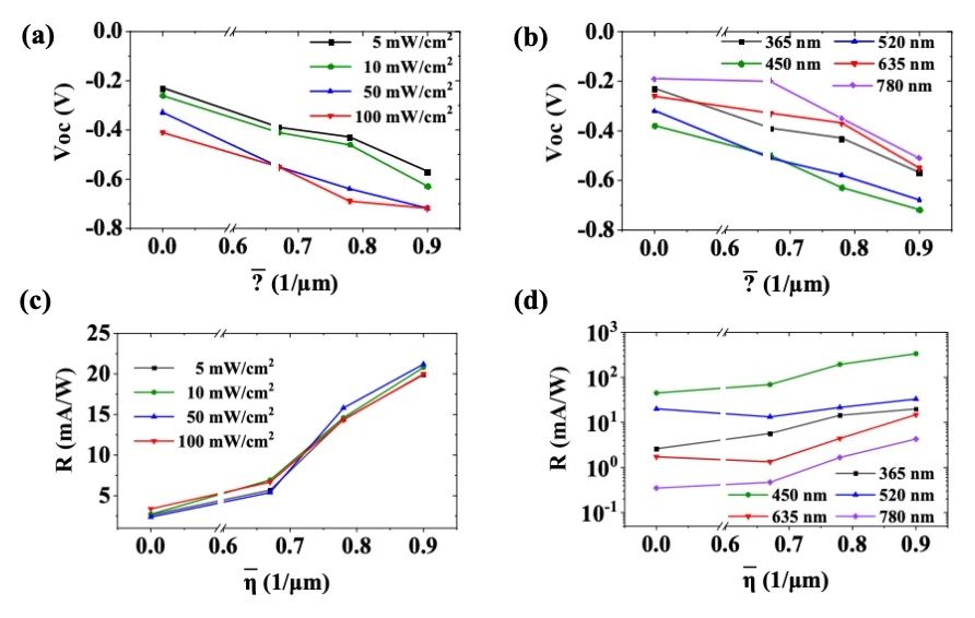
研究团队表示,通过拟合弯曲异质结的高度曲线可以证明利用直径为数百纳米的ZnO纳米线可以在二维材料中产生高达1 μm−1量级的应变梯度场,比传统三维柔性器件高出约3个数量级,开尔文探针力显微镜(KPFM)表面势测量结果表明强应变梯度场显著改变了异质结区域的能带结构。

图|弯曲α-In2Se3/β-InSe异质结的曲率及表面势表征
相应的光电性能测试表明,相比平直异质结,平均曲率为0.9 μm−1 的弯曲异质结的开路电压和零偏压响应度分别提高了2.48倍和7.62倍。证明了挠曲电效应可以有效提升二维异质结的光电探测性能,挠曲电效应可为高性能微纳光电探测器的研制提供一种新的调控手段。

图|光电性能与应变梯度之间的关系
相关研究成果以“Flexoelectricity-Enhanced Self-Powered Photodetection in 2D van der Waals Heterojunctions With Large Curvatures”为题发表在国际权威期刊《Advanced Functional Materials》(IF:19,Nature Index期刊)上。
副研究员齐鲁为第一作者,
阮双琛教授与深圳大学曾昱嘉教授为共同通讯作者。该项研究得到了国家自然科学基金、广东省基础与应用基础研究基金和深圳市科技计划等项目支持。
文章链接:
https://onlinelibrary.wiley.com/doi/10.1002/adfm.202315991
供稿|中德智能制造学院 齐鲁